Selection & Merging

![]()
![]()
![]()
Merging: sorted file +sorted file
→lager sorted fileMerge file
Quick Sort: divide 2 sorted file
→whole file sorted: most done before recursive calls(Conquer &Divide)
Merge Sort: divide 2 sorted file+merge
→whole file sorted:most done after recursive calls(Divide & Conquer)
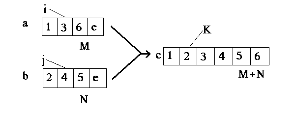
Merge
2-way merge:
array merge:

list merge:

T=M+N
i:=1; j:=1;
a[M+1]:=
∞;b[N+1]:=∞;for K:=1 to M+N do
if a[i]<b[j] then c[K]:=a[i]; i:=i+1;
else c[K]:=b[j]; j:=j+1;
Merge Sort
˙array
m:=(l+r) div l;
mergeSort(l+m);mergeSort(m+1,l);
copy(a,b,l,m); CopyR(a,b,m+1,r);
merge

˙array

a:= c ; b:= c.next ; b:=b.next;b:=b.next;
while b≠Z do
c:=c.next ; b:=b.next; b:=b.next;
b.c=next; c.next:=Z;
mergeSort := Merge(mergesort(a),mergesort(b));
˙Build up small sorted file into larger ones (top down)
˙

˙Example:


